You Are Designing A Rectangular Poster To Contain . You are designing a rectangular poster to contain 50 square inches of printing with a 4. (5 pts) you are designing a rectangular poster to contain 50 square inches of printing with a 4 inch margin at the top and bottom and a 2. Let the paper size be x inches in length and y inches in. You are designing a rectangular poster to contain 312.5 cm^2 of printing with a 10 cm margin at the top and bottom and a 5 cm margin at each side. Designing a poster you are designing a rectangular poster to contain 50 in^2 of printing with a 4. In this video, we discuss designing a poster. You are designing a rectangular poster to contain.
from design.udlvirtual.edu.pe
You are designing a rectangular poster to contain 50 square inches of printing with a 4. In this video, we discuss designing a poster. You are designing a rectangular poster to contain 312.5 cm^2 of printing with a 10 cm margin at the top and bottom and a 5 cm margin at each side. You are designing a rectangular poster to contain. Designing a poster you are designing a rectangular poster to contain 50 in^2 of printing with a 4. (5 pts) you are designing a rectangular poster to contain 50 square inches of printing with a 4 inch margin at the top and bottom and a 2. Let the paper size be x inches in length and y inches in.
You Are Designing A Rectangular Poster To Contain Design Talk
You Are Designing A Rectangular Poster To Contain In this video, we discuss designing a poster. You are designing a rectangular poster to contain. You are designing a rectangular poster to contain 50 square inches of printing with a 4. Designing a poster you are designing a rectangular poster to contain 50 in^2 of printing with a 4. You are designing a rectangular poster to contain 312.5 cm^2 of printing with a 10 cm margin at the top and bottom and a 5 cm margin at each side. In this video, we discuss designing a poster. (5 pts) you are designing a rectangular poster to contain 50 square inches of printing with a 4 inch margin at the top and bottom and a 2. Let the paper size be x inches in length and y inches in.
From www.chegg.com
Solved You are designing a rectangular poster to contain 27 You Are Designing A Rectangular Poster To Contain You are designing a rectangular poster to contain 50 square inches of printing with a 4. You are designing a rectangular poster to contain. You are designing a rectangular poster to contain 312.5 cm^2 of printing with a 10 cm margin at the top and bottom and a 5 cm margin at each side. Designing a poster you are designing. You Are Designing A Rectangular Poster To Contain.
From www.coursehero.com
[Solved] Johnny is designing a rectangular poster to contain 12 in.2 of You Are Designing A Rectangular Poster To Contain Designing a poster you are designing a rectangular poster to contain 50 in^2 of printing with a 4. (5 pts) you are designing a rectangular poster to contain 50 square inches of printing with a 4 inch margin at the top and bottom and a 2. Let the paper size be x inches in length and y inches in. In. You Are Designing A Rectangular Poster To Contain.
From www.numerade.com
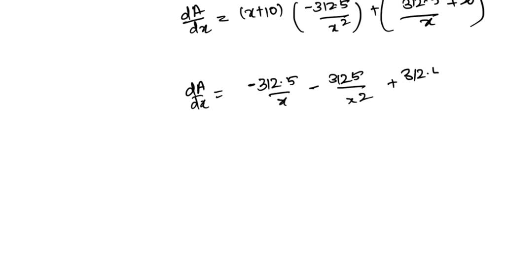
SOLVED You are designing a rectangular poster to contain 312.5 cm^2 of You Are Designing A Rectangular Poster To Contain You are designing a rectangular poster to contain. You are designing a rectangular poster to contain 312.5 cm^2 of printing with a 10 cm margin at the top and bottom and a 5 cm margin at each side. In this video, we discuss designing a poster. You are designing a rectangular poster to contain 50 square inches of printing with. You Are Designing A Rectangular Poster To Contain.
From www.chegg.com
Solved You are designing a rectangular poster to contain 48 You Are Designing A Rectangular Poster To Contain You are designing a rectangular poster to contain 312.5 cm^2 of printing with a 10 cm margin at the top and bottom and a 5 cm margin at each side. (5 pts) you are designing a rectangular poster to contain 50 square inches of printing with a 4 inch margin at the top and bottom and a 2. Let the. You Are Designing A Rectangular Poster To Contain.
From www.coursehero.com
[Solved] Johnny is designing a rectangular poster to contain 25 in^2 of You Are Designing A Rectangular Poster To Contain You are designing a rectangular poster to contain. You are designing a rectangular poster to contain 312.5 cm^2 of printing with a 10 cm margin at the top and bottom and a 5 cm margin at each side. Designing a poster you are designing a rectangular poster to contain 50 in^2 of printing with a 4. In this video, we. You Are Designing A Rectangular Poster To Contain.
From www.coursehero.com
[Solved] . You are designing a rectangular poster to contain 36 in You Are Designing A Rectangular Poster To Contain (5 pts) you are designing a rectangular poster to contain 50 square inches of printing with a 4 inch margin at the top and bottom and a 2. You are designing a rectangular poster to contain 50 square inches of printing with a 4. You are designing a rectangular poster to contain 312.5 cm^2 of printing with a 10 cm. You Are Designing A Rectangular Poster To Contain.
From www.chegg.com
Solved You are designing a rectangular poster to contain 50 You Are Designing A Rectangular Poster To Contain You are designing a rectangular poster to contain. Designing a poster you are designing a rectangular poster to contain 50 in^2 of printing with a 4. You are designing a rectangular poster to contain 50 square inches of printing with a 4. (5 pts) you are designing a rectangular poster to contain 50 square inches of printing with a 4. You Are Designing A Rectangular Poster To Contain.
From www.chegg.com
Solved Johnny is designing a rectangular poster to contain You Are Designing A Rectangular Poster To Contain Designing a poster you are designing a rectangular poster to contain 50 in^2 of printing with a 4. (5 pts) you are designing a rectangular poster to contain 50 square inches of printing with a 4 inch margin at the top and bottom and a 2. You are designing a rectangular poster to contain. In this video, we discuss designing. You Are Designing A Rectangular Poster To Contain.
From design.udlvirtual.edu.pe
You Are Designing A Rectangular Poster To Contain Design Talk You Are Designing A Rectangular Poster To Contain You are designing a rectangular poster to contain. In this video, we discuss designing a poster. Let the paper size be x inches in length and y inches in. You are designing a rectangular poster to contain 312.5 cm^2 of printing with a 10 cm margin at the top and bottom and a 5 cm margin at each side. You. You Are Designing A Rectangular Poster To Contain.
From www.chegg.com
Solved You are designing a rectangular poster to contain 32 You Are Designing A Rectangular Poster To Contain Designing a poster you are designing a rectangular poster to contain 50 in^2 of printing with a 4. You are designing a rectangular poster to contain 312.5 cm^2 of printing with a 10 cm margin at the top and bottom and a 5 cm margin at each side. You are designing a rectangular poster to contain 50 square inches of. You Are Designing A Rectangular Poster To Contain.
From www.chegg.com
Solved 6. You are designing a rectangular poster to contain You Are Designing A Rectangular Poster To Contain In this video, we discuss designing a poster. You are designing a rectangular poster to contain 50 square inches of printing with a 4. Let the paper size be x inches in length and y inches in. You are designing a rectangular poster to contain 312.5 cm^2 of printing with a 10 cm margin at the top and bottom and. You Are Designing A Rectangular Poster To Contain.
From www.chegg.com
Solved You are designing a rectangular poster to contain 50 You Are Designing A Rectangular Poster To Contain Designing a poster you are designing a rectangular poster to contain 50 in^2 of printing with a 4. (5 pts) you are designing a rectangular poster to contain 50 square inches of printing with a 4 inch margin at the top and bottom and a 2. You are designing a rectangular poster to contain. Let the paper size be x. You Are Designing A Rectangular Poster To Contain.
From design.udlvirtual.edu.pe
You Are Designing A Rectangular Poster To Contain Design Talk You Are Designing A Rectangular Poster To Contain Let the paper size be x inches in length and y inches in. You are designing a rectangular poster to contain 50 square inches of printing with a 4. In this video, we discuss designing a poster. (5 pts) you are designing a rectangular poster to contain 50 square inches of printing with a 4 inch margin at the top. You Are Designing A Rectangular Poster To Contain.
From www.chegg.com
Solved You are designing a rectangular poster to contain 27 You Are Designing A Rectangular Poster To Contain In this video, we discuss designing a poster. (5 pts) you are designing a rectangular poster to contain 50 square inches of printing with a 4 inch margin at the top and bottom and a 2. You are designing a rectangular poster to contain 312.5 cm^2 of printing with a 10 cm margin at the top and bottom and a. You Are Designing A Rectangular Poster To Contain.
From www.numerade.com
SOLVED You are designing a rectangular poster to contain 50 in^2 of You Are Designing A Rectangular Poster To Contain In this video, we discuss designing a poster. You are designing a rectangular poster to contain. Designing a poster you are designing a rectangular poster to contain 50 in^2 of printing with a 4. Let the paper size be x inches in length and y inches in. You are designing a rectangular poster to contain 312.5 cm^2 of printing with. You Are Designing A Rectangular Poster To Contain.
From www.numerade.com
SOLVED Designing a poster You are designing a rectangular poster to You Are Designing A Rectangular Poster To Contain (5 pts) you are designing a rectangular poster to contain 50 square inches of printing with a 4 inch margin at the top and bottom and a 2. You are designing a rectangular poster to contain 312.5 cm^2 of printing with a 10 cm margin at the top and bottom and a 5 cm margin at each side. Let the. You Are Designing A Rectangular Poster To Contain.
From www.chegg.com
Solved 1) You are designing a rectangular poster to contain You Are Designing A Rectangular Poster To Contain In this video, we discuss designing a poster. You are designing a rectangular poster to contain 50 square inches of printing with a 4. Designing a poster you are designing a rectangular poster to contain 50 in^2 of printing with a 4. You are designing a rectangular poster to contain 312.5 cm^2 of printing with a 10 cm margin at. You Are Designing A Rectangular Poster To Contain.
From www.chegg.com
Solved 1. You are designing a rectangular poster to contain You Are Designing A Rectangular Poster To Contain In this video, we discuss designing a poster. You are designing a rectangular poster to contain 312.5 cm^2 of printing with a 10 cm margin at the top and bottom and a 5 cm margin at each side. You are designing a rectangular poster to contain 50 square inches of printing with a 4. Let the paper size be x. You Are Designing A Rectangular Poster To Contain.